SpecSWD

Contents:

  • SpecSWD
  • Installation
  • Tutorial
  • Gallery
    • Two layer Love wave Model
    • Scholte Wave example
  • Python Library API Reference
SpecSWD
  • Gallery
  • View page source

Gallery

Two layer Love wave Model

Layer Number

h

$\rho$

$\beta_{v}$

$\beta_{h}$

$Q_L$

$Q_N$

1

35

2.8

3.0

3.3

220

200

2

$\infty$

3.2

5.0

5.5

330

300

image Benchmark of phase/group/group Q ith Analytical Solution

image Benchmark of phase velocity sensitivity kernels ith Analytical Solution

image Benchmark of group velocity sensitivity kernels ith Analytical Solution

Scholte Wave example

Layer Number

h

$\rho$

$\alpha$

$\beta$

1

5

1.0

1.5

0

2

45

2.57

5.22

3.1

3

50

2.95

6.94

4.0

2

$\infty$

3.57

5.0

8.75

image Benchmark of phase/group/ velocities with CPS330.

image Normalized eigenfunctions

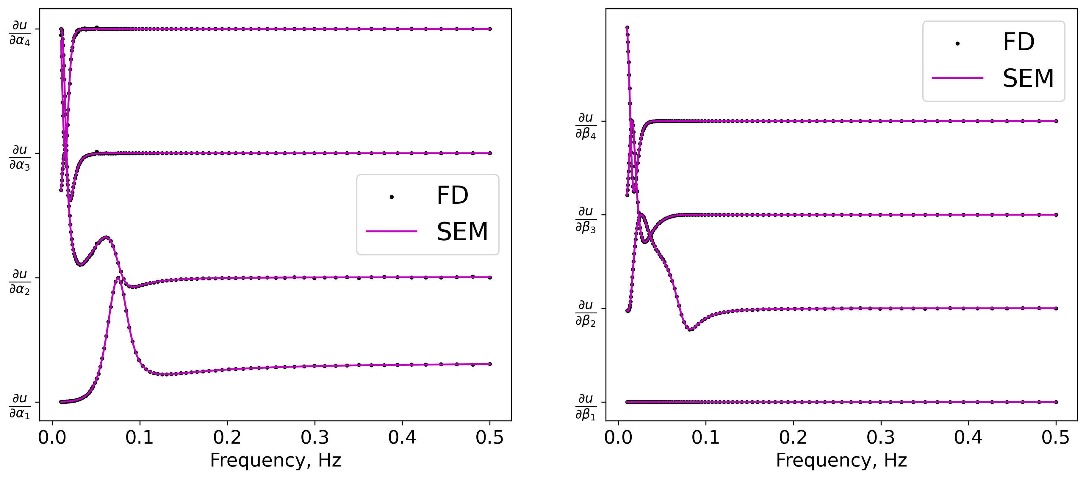
image Benchmark of phase velocity derivativates with FD approximation

image Benchmark of group velocity derivativates with FD approximation

Previous Next

© Copyright .

Built with Sphinx using a theme provided by Read the Docs.